I Bought Another House (The Details Behind My Newest Investment)
Ever since we moved to Denver, Jules and I have been renting our house.
Renting is great. I love it. It’s low stress, easy, convenient, and cheap. The plan was always to rent. We had no plans on buying, but things have changed.
We decided to buy the house in a direct sale from my landlord.
In this week’s issue, I will walk you through my decision, walk you through the numbers, and lay out a path to turn this house into a cash flowing investment.
Why Did We Buy?
We bought the house because we love it here. We live in a neighborhood called Sloan’s Lake. Every morning, I look out my window and I see the beautiful stoic mountains. I go for afternoon walks around the lake. The community is vibrant and we have made so many friends.
I feel so at home here. I know Jules does too. I am grateful.
We are building a community of great people and the kiddos are also starting to make friends. We are going to be here for at least another 4 years. We’re ready to make this a home.
That’s Great, But Buying A Home Is A Terrible Investment
It’s true.
In America, we associate home ownership with the American Dream. We have a narrative that “home prices always go up so my house will be a great investment.”
Owning your home is not a good investment, the numbers make that pretty clear.
If you take the extra money you spend on mortgage, insurance, taxes and home repairs, and you instead invested that money into the S&P 500, your money would perform much better than any gains you made on your home.
That’s assuming you sell the home and assuming you hold onto the house long enough to make a dent in the principle. In most cases, neither of these requirements are met. Most of the time, people lose money on home ownership.
Renting is almost always a better financial decision, but our egos get in the way. The phrase “you’re making your landlord rich” has cost American families billions of dollars.
Remember, when you rent, your monthly rent is the most you will ever pay, when you buy, your monthly mortgage is the least you will ever pay.
So then why did I do it? On one hand, I’m telling you that home ownership is a bad investment while also telling you that I am buying the house as an investment.
The Numbers
Let’s break it down.
Here’s the house.
I bought the house for $1,062,000. Since I bought directly from my landlord, I didn’t have to pay the ridiculous 6% commission to the agents. So that number is all in.
The house itself is in decent shape, but all the value of the home comes from the neighborhood. It’s an exploding community. There is construction everywhere and this neighborhood will continue growing in value for decades.
Since I am a high income earner, I was able to get away with only putting 5% down on the house. This means that my total loan amount is $1,008,900.
After shopping around, I was able to get an interest rate at 6.875%.
Let’s imagine I plan to live in this house for 30 years. Over the course of 30 years, I will end up paying $1,377,091.73 in interest, which is insane.
If you add in taxes, insurance, and HOA, my mortgage will be about $7400 a month.
Great, so we’ve gotten through the basic upfront and recurring expenses. Now let’s look at how I will convert this property into an investment.
How Will I Make This House Cash Flow?
My house in Nashville cash flows about $800 a month. I have a property manager who takes care of everything. Over the last 4 years, the estimated value of my Nashville house has increased by $300,000.
So in this case, I am getting paid every month to own a house that is making me wealthy.
This is the difference between owning the home you live in, and owning the home you rent out.
In one case, home ownership is a liability and in the other case, home ownership is an asset.
My goal is to transition the Denver house from liability to asset.
In order to do that, I will need to turn it into a rental.
Currently, the house wouldn’t be a great rental because the mortgage is too high. I will probably refinance in the future, but I’m more concerned with paying down the principle.
Most people don’t realize that after you pay your interest rate each month, any additional money you put towards the mortgage goes directly to the principle.
I need to get the mortgage down to $4500 a month. In this case, I could easily rent the house for $6000 a month. I could probably charge more.
So how much do I need to pay down towards the principle to get that mortgage down to $4500 a month?
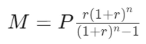
The formula to calculate the monthly payment for a fixed-rate mortgage is:
Where:
M is the monthly mortgage payment
P is the principal loan amount
r is the monthly interest rate (annual rate divided by 12 months)
n is the number of payments (loan term in years multiplied by 12)
However, since I need to find the principal (P) that results in a $4,500 monthly payment, we’ll need to manipulate this formula accordingly.
To get my monthly mortgage payment down to about $4,500 with a 6.875% interest rate, I need to reduce my loan principal to approximately $685,006. This means I would need to make extra payments towards the principal of about $323,894 beyond my down payment.
These are basic numbers, because I’m not accounting for a new interest rate once I refinance. Regardless, I have a basic roadmap.
GOAL: Reduce my principle down to $685,006 by January 1 2028.
That means I need to put about $110,000 a year towards my principle.
By January 1st, 2028, I’ll be ready to transition this into a rental.
Why Am I Doing This?
When I lived in Florida, I had a business mentor. His name is Richard. Richard and I still talk all the time. One day, he and I were out to lunch and I asked him if he planned to sell his house.
He looked at me and said something I’ll never forget. He said “houses aren’t for selling, houses are for buying.” I knew exactly what he meant by that statement.
Since then, it’s always been part of my plan to incorporate real estate into my portfolio,
Over the next 20 years, I’ll slowly back away from digital businesses and private investing and start reinvesting into rental properties. By the time I’m 50, I hope to have a separate real estate holdings company that manages a few dozen rental properties.
This way, I can convert my cash into more cash flow that appreciates in value and stores my wealth into hard assets.
I like this plan because it allows me to be patient. I can still take risks (although I’m not nearly as risk tolerant as I used to be) and I can still make investments while taking my foot off the gas pedal.
The Best Part
In the meantime, I get to live in this amazing house and raise my family.
I get to look out my office window every day and look at the mountains. I get to take afternoon walks around the lake or take barefoot walks in the fields to do my afternoon grounding.
I get to spend time with this amazing group of people and enjoy watching our kids become friends. I imagine The Little Dude and The Sweet Girl running next door and knocking on the neighbors door asking if Michael can come out and play.
Why can’t I live in my house and get paid to do it?
This is the game. This is how you turn life into cash.
The post I Bought Another House (The Details Behind My Newest Investment) appeared first on Tim Stoddart.






Couple of questions that not clear to me
1) Why do you want to reduce the mortage to $4500 not more or less?
2) If the Denver home is rented out, I assume, it would be fully occupied by the tenants. In this case, which would be your home?